近期要闻

《自然》 | SHMFF用户在无限层镍氧化物中发现新奇强磁场重入超导态

近日,稳态强磁场实验装置(SHMFF)用户香港城市大学李丹枫副教授团队与南方科技大学薛其坤院士、陈卓昱副教授等团队合作,利用SHMFF混合磁体极低温电输运测试系统,在铕(Eu)掺杂的无限层镍氧化物薄膜(Sm0.95-xCa0.05EuxNiO2)中,首次观测到由强磁场诱导的重入超导(Re-entrant superconductivity)现象,为探索强关联氧化物中的非常规配对机制提供了全新的实验平台。相关成果以“Field re-entrant sup...

2026-04-25

强磁场中心团队在二维超导迈斯纳效应探测方面取得重要进展

近期,中国科学院合肥物质科学研究院强磁场科学中心联合南京大学、燕山大学,在二维超导迈斯纳效应探测方面取得突破性进展。该成果实现了对微米尺度二维范德华超导抗磁信号的高灵敏探测,为深入理解低维超导本征物性提供了关键实验支撑。相关成果以“Probing the Meissner effect in microscale two-dimensional van der Waals superconductors”为题,在线发表于国际权威期刊Advanced Materials.

2026-04-21

强磁场中心团队辅助合成出具有优异微波吸收性能的异相CoxSe纳米片

近期,中国科学院合肥物质科学研究院强磁场科学中心盛志高研究员研究团队,依托稳态强磁场实验装置(SHMFF),成功合成硒化钴(CoxSe)纳米片,实现了对其微观结构与微波吸收性能的精准调控。相关研究结果以“Synthesis of heterophase CoxSe nanosheets under high magnetic field: Modulation of composition, morphology, magnetism, and microwave absorption”为题发表于Chemical Engineering Journal。

2026-04-10

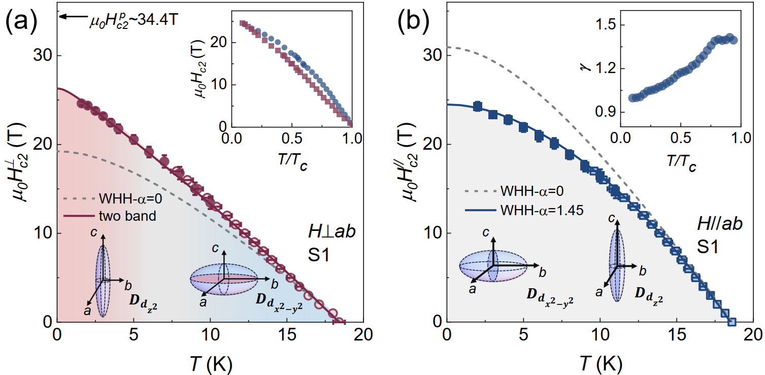
低功耗量子材料团队揭示三层镍酸盐La4Ni3O10-δ近各向同性的上临界磁场

近日,中国科学院合肥物质科学研究院强磁场科学中心低功耗量子材料团队联合上海前瞻物质科学研究院、复旦大学等团队,依托稳态强磁场实验装置(SHMFF)所属水冷磁体WM5,结合强磁场与高压等极端条件,首次绘制了加压三层镍酸盐La4Ni3O10-δ单晶上临界磁场的全温区相图,揭示其近各向同性的上临界磁场,为理解镍酸盐高温超导配对机制提供关键实验依据。相关成果以“Nearly isotropic upper critical field i...

2026-04-09

强磁场中心团队实现单原子纳米酶肿瘤催化治疗效果提升

近日,中国科学院合肥物质科学研究院强磁场科学中心王辉研究员团队联合中国科学技术大学、中国科学院合肥研究院健康与医学技术研究所、澳门大学的合作团队,成功构建出一种配位不饱和的铜单原子纳米酶,并依托稳态强磁场实验装置(SHMFF)电子顺磁共振谱仪,有效监测材料中·OH的原位生成,揭示了金属中心配位环境与底物吸附能力、电子传输效率及肿瘤催化治疗效果之间的构效关系。相关研究成果以“Enhanced...

2026-04-07

强磁场中心团队实现拓扑磁结构尺度精控突破

近日,中国科学院合肥物质院强磁场科学中心陆轻铀教授团队利用稳态强磁场装置(SHMFF)自研的低温强磁场磁力显微镜(MFM)在磁斯格明子精准调控方面取得重要进展,相关成果以 “Giant Tunability of Individual Magnetic Skyrmion Size via an Oscillating Local Magnetic Field” 为题,发表于Rare Metals并入选期刊封面。

2026-03-31

稳态强磁场实验装置(SHMFF)进一步面向全球开放共享

3月25日,中关村论坛开幕式上,《开放科学国际合作行动计划》正式发布,面向全球开放共享十大重大科研基础设施。强磁场科学中心所属的稳态强磁场实验装置(SHMFF)入选。作为国家重大科技基础设施,SHMFF自建成以来始终坚持开放共享理念,为全球科研合作提供高质量支撑。

2026-03-28

强磁场中心团队揭示三角阻挫磁体中强自旋-声子耦合与高温短程磁序

近期,中国科学院合肥物质科学研究院强磁场科学中心盛志高研究员团队依托强磁场下太赫兹时域光谱装置,在三角阻挫磁体NaCrO2的自旋-声子耦合研究中取得重要进展,实现了对无长程磁序状态下强自旋-声子耦合效应的直接观测。研究团队结合极低温太赫兹光谱和SQUID磁学测量,揭示了NaCrO2中短程磁序的高温存续现象及其诱导的低频声子模式异常演化规律。该成果以“Short-range spin order and spin-phonon coupl...

2026-03-27

强磁场中心团队在笼目超导体新型局域电子态研究中取得重要进展

近日,中国科学院合肥物质科学研究院、安徽大学、中国科学技术大学等组成的联合科研团队,在笼目超导体新奇量子态研究中取得重要进展。联合团队利用单原子杂质作为局域的“量子探测器”,借助扫描隧道谱学手段成功观测到两类特殊的低能准粒子态,为体系中可能存在的手性环路电流序以及自赋型拓扑超导态提供了关键的实验线索。相关研究成果以“Symmetry-broken Kondo screening and zero-energy mode in a k...

2026-03-25

强磁场中心团队在原子尺度磁表征技术方面取得重要进展

近期,中国科学院合肥物质科学研究院强磁场科学中心、安徽大学、德国于利希研究中心、武汉理工大学等团队合作,在磁性表征技术领域实现重大突破,开发出一种能在原子尺度上解析反铁磁序的原创性表征方法,相关研究成果以“Magnetic circular dichroism imaging of atomic-scale antiferromagnetic order at a buried interface”为题,发表于国际权威期刊Nature Nanotechnology。

2026-03-24