近日,稳态强磁场实验装置(SHMFF)用户中国科学院合肥物质科学研究院强磁场科学中心低功耗量子材料团队联合上海前瞻物质科学研究院、复旦大学等团队,依托SHMFF所属水冷磁体WM5,结合强磁场与高压等极端条件,首次绘制了加压三层镍酸盐La4Ni3O10-δ单晶上临界磁场的全温区相图,揭示其近各向同性的上临界磁场,为理解镍酸盐高温超导配对机制提供关键实验依据。相关成果以“Nearly isotropic upper critical field in pressurized trilayer nickelateLa4Ni3O10-δ”为题发表于美国物理学会期刊Physical Review X。
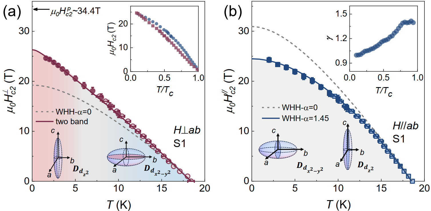
自双层Ruddlesden–Popper镍酸盐La3Ni2O7-δ在高压下被发现具有近80 K的超导温度以来,三层同体系La4Ni3O10-δ单晶在压力下也被证实存在体超导性(Tc≈20 K)。上临界磁场(μ0Hc2)作为超导体的基本参数之一,对理解超导配对机制至关重要。然而,要完整测量RP镍酸盐的上临界磁场并表征其各向异性,在技术上极具挑战:不仅需要施加超过50 GPa的静水压以维持体超导相,还需要使用30 T以上的强磁场以完全抑制超导,且二者必须在低温条件下同时实现。此外,由于水冷磁体的内部空间有限,传统技术无法实现高压腔在强磁场中的原位旋转,而这恰恰是测量上临界场各向异性的关键所在。
针对上述挑战,研究团队集中攻关、协同合作,依托水冷磁体WM5,成功设计了一套原位转角电输运测试系统。该系统能够在50 GPa高压与35 T强磁场相结合的综合极端条件下,实现样品的高精度原位旋转。利用这一技术,团队成功测量了三层RP镍酸盐La4Ni3O10-δ在不同磁场方向上的上临界磁场。研究发现,该材料的上临界磁场在全温度范围内均表现出显著的近各向同性特征。这一特性与传统层状超导材料的各向异性行为形成鲜明对比。通过双带模型分析,团队揭示出该超导特性源于
和
两个轨道能带的贡献:二者的扩散率各向异性相反,相互补偿,从而整体呈现近各向同性。该研究不仅为理解多轨道参与的超导配对机制提供了直接而关键的实验依据,也为深入探索镍酸盐高温超导的微观本质、推动该领域取得新突破提供了全新方向。此外,本研究建立了在强磁场(35 T)-高压(50 GPa)-低温(1.8 K)下开展角度依赖输运测试的实验能力,为在极端压力与强磁场联合作用下探索量子材料提供了重要手段,具有重要的科学意义。
上海前瞻物质科学研究院/北京高压科学研究中心(上海分中心)彭帝研究员、强磁场科学中心研究生卞耀龙、北京高压科学研究中心(上海分中心)研究生邢贞芳、复旦大学研究生陈力行为论文共同第一作者,强磁场科学中心张警蕾研究员、上海前瞻物质科学研究院/北京高压科学研究中心(上海分中心)曾桥石研究员、复旦大学赵俊教授为论文共同通讯作者。该研究得到了国家重点研发计划、国家自然科学基金、中国科学院建制化科研平台等项目的支持。
论文链接:https://journals.aps.org/prx/abstract/10.1103/h5sv-dzd1
图1. 三层镍酸盐La4Ni3O10-δ强磁场下两个方向的超导上临界场相图
图2. 转角杆实物图及DAC压力包示意图
© 1996 - 强磁场科学中心 版权所有 皖ICP备05001008号-11
地址:安徽省合肥市蜀山湖路350号 邮编:230031 电话:0551-65591149 传真:0551-65591149 邮箱:chmfl@hmfl.ac.cn


