用户成果

SHMFF用户揭示三层镍酸盐La4Ni3O10-δ近各向同性的上临界磁场

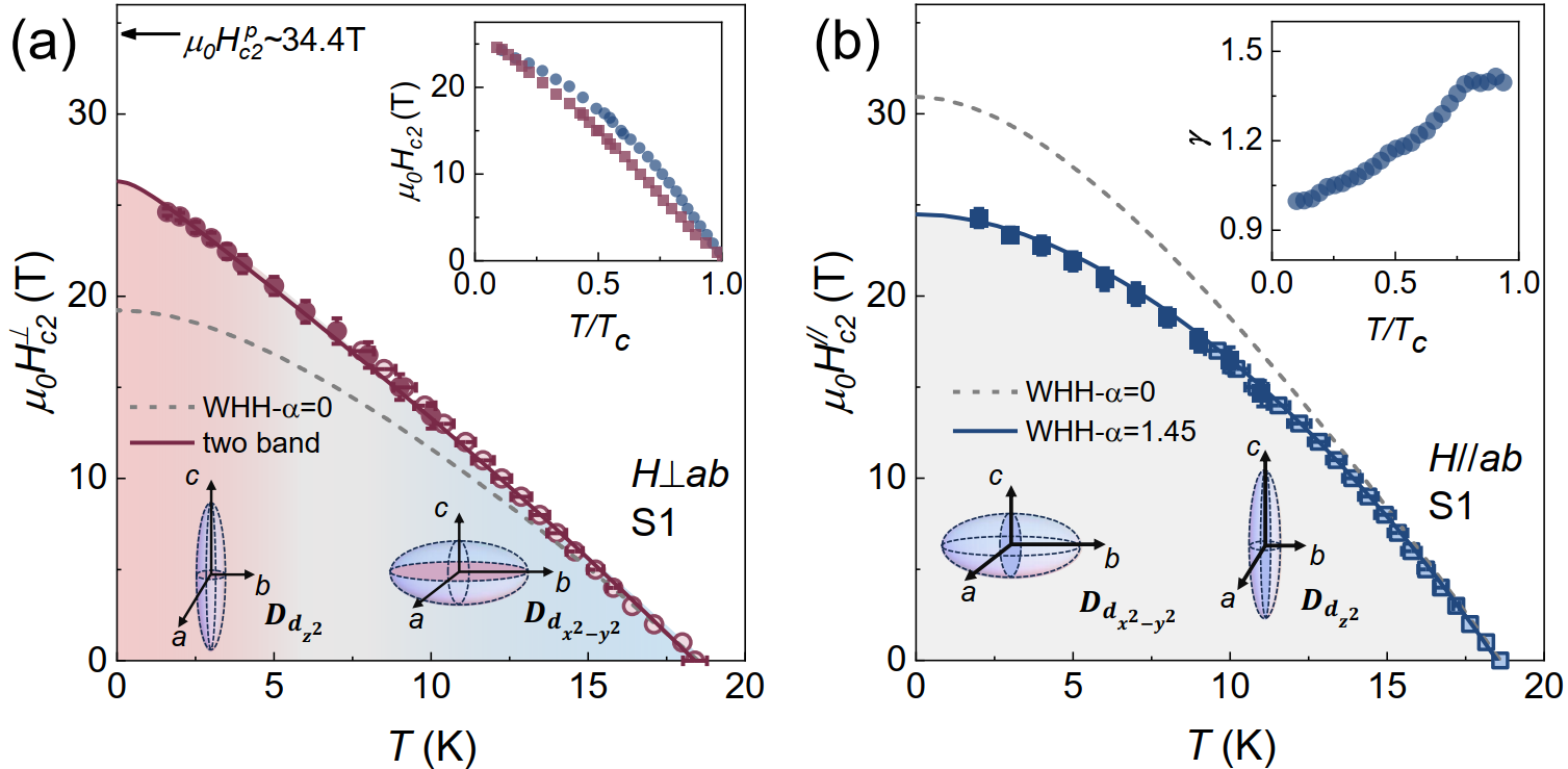
近日,稳态强磁场实验装置(SHMFF)用户中国科学院合肥物质科学研究院强磁场科学中心低功耗量子材料团队联合上海前瞻物质科学研究院、复旦大学等团队,依托SHMFF所属水冷磁体WM5,结合强磁场与高压等极端条件,首次绘制了加压三层镍酸盐La4Ni3O10-δ单晶上临界磁场的全温区相图,揭示其近各向同性的上临界磁场,为理解镍酸盐高温超导配对机制提供关键实验依据。相关成果以“Nearly isotropic upper critica...

2026-04-13

SHMFF用户辅助合成出具有优异微波吸收性能的异相CoxSe纳米片

近期,稳态强磁场实验装置(SHMFF)用户中国科学院合肥物质科学研究院强磁场科学中心盛志高研究员研究团队,依托SHMFF材料制备实验装置,成功合成硒化钴(CoxSe)纳米片,实现了对其微观结构与微波吸收性能的精准调控。相关研究结果以“Synthesis of heterophase CoxSe nanosheets under high magnetic field: Modulation of composition, morphology, magnetism, and microwave absorption”为题发表于Chemi...

2026-04-10

SHMFF用户揭示三层镍酸盐La4Ni3O10-δ近各向同性的上临界磁场

近日,稳态强磁场实验装置(SHMFF)用户中国科学院合肥物质科学研究院强磁场科学中心低功耗量子材料团队联合上海前瞻物质科学研究院、复旦大学等团队,依托SHMFF所属水冷磁体WM5,结合强磁场与高压等极端条件,首次绘制了加压三层镍酸盐La4Ni3O10-δ单晶上临界磁场的全温区相图,揭示其近各向同性的上临界磁场,为理解镍酸盐高温超导配对机制提供关键实验依据。相关成果以“Nearly isotropic upper critica...

2026-04-09

SHMFF用户实现单原子纳米酶肿瘤催化治疗效果提升

近日,稳态强磁场实验装置(SHMFF)用户中国科学院合肥物质科学研究院强磁场科学中心王辉研究员团队联合中国科学技术大学、中国科学院合肥研究院健康与医学技术研究所、澳门大学的合作团队,成功构建出一种配位不饱和的铜单原子纳米酶,并依托SHMFF电子顺磁共振谱仪,有效监测材料中·OH的原位生成,揭示了金属中心配位环境与底物吸附能力、电子传输效率及肿瘤催化治疗效果之间的构效关系。相关研究成果以...

2026-04-07

SHMFF用户在强磁场调控与材料维度及其电磁性能关系研究中取得重要进展

近期,稳态强磁场实验装置(SHMFF)用户中国科学院合肥物质科学研究院强磁场科学中心盛志高研究员团队和安徽大学丁伟副教授,依托SHMFF超导磁体SM1,结合有限元仿真软件和性能表征技术,系统探究了不同维度生物碳材料的磁控取向行为及其对微波吸收性能的影响,揭示了维度特性在材料磁场响应中的关键作用,为新型高效微波吸收材料的开发提供了新方法与新思路。相关研究成果以“Dimensionality-Controlled Ma...

2026-03-19

SHMFF用户发现无限层镍氧化物超导薄膜中量子涨落驱动态证据

近日,稳态强磁场实验装置(SHMFF)用户北京师范大学聂家财教授、刘海文教授团队利用SHMFF混合磁体、水冷磁体以及极低温输运测试系统,在无限层镍酸盐La₀.₈Sr₀.₂NiO₂超导薄膜中发现了由量子格里菲斯奇异性(QGS)驱动的各向异性上临界场,为理解镍酸盐超导体的非常规特性提供了新视角。相关成果以“Anisotropic Upper Critical Field beyond the Pauli Limit in a Nickelate Superconductor: Evidence...

2026-03-16

《自然》|SHMFF用户团队实现金属自旋超固态及其无氦-3极低温制冷突破

日前,中国科学院合肥物质科学研究院强磁场中心、理论物理研究所与上海交通大学等组成的联合科研团队在阻挫磁性与极低温制冷领域取得重大突破。联合团队在三维磁性合金中,首次揭示了金属自旋超固态的存在,并建立其电子媒介间接交换与磁偶极作用协同驱动新机制。该阻挫磁性合金在极低温下同时展现巨大磁卡效应和超高热导率,打破了极低温磁制冷材料领域长期存在的性能瓶颈。这项研究不仅提供了一种无需依...

2026-02-14

SHMFF用户表面卤素钝化赋能超稳定高效光活化甲醇

近日,稳态强磁场实验装置(SHMFF)用户中国科学技术大学谢毅院士、张晓东教授团队提出了一种表面卤素(Cl、Br和I)钝化策略以提高光催化剂稳定性,该策略可提供抵御化学侵蚀的保护屏障,防止氧化和还原性的表面降解。相关成果以“Surface Halogen Passivation Enables Ultra-Stable Metal Sulfide for Efficient Methanol Photoactivation”为题发表于Journal of the American Chemical Society, SHMFF所属...

2026-02-13

SHMFF用户提出低温强磁场下新原理磁强计

近日,稳态强磁场实验装置(SHMFF)用户山西大学光电研究所、辽宁材料实验室材料量子调控技术研究所团队与国内外多家单位合作,借助SHMFF水冷磁体WM1的电输运测试系统,在大角度转角双层石墨烯体系中发现了电位移矢量与磁场的比值(D/B)量子化新机制。团队利用该比值的量子化特性,观测到了朗道能级交叉点处的量子化“中国结”图案,并据此提出一种可用于低温强磁场环境下的新原理磁传感器。相关成果以“Qua...

2026-01-23