南京大学吴小山教授研究组的彭劲博士,借助稳态强磁场实验装置变温X射线衍射仪(XRD),对锰掺杂双层钌氧化物Ca3Ru2O7中的Mott相变的晶格-轨道调控机制进行了研究,并取得了新进展。该研究成果以“Mott transition controlled by lattice-orbital coupling in 3d-metal-doped double-layer ruthenates”为题,发表在国际期刊《物理评论B》上【Physical Review B 96, 205105 (2017)】。
在强关联电子体系中,电荷、轨道、晶格、自旋自由度之间的复杂相互作用被认为是各种新奇现象的根源。而通过化学掺杂、压力、磁场等外部条件的调控,可以有效的调节不同自由度之间的竞争和平衡,从而对体系的磁相图和电子相图进行调控,典型的例子有铜基高温超导体系和巨磁阻锰氧化物体系。Ruddlesden-Popper (RP)类型的层状钌氧化物(化学式为An+1RunO3n+1,n = 1, 2, 3……,∞)是一种具有丰富物理性质的强关联电子体系,例如Sr2RuO4(n=1)中的自旋三重态和超导电性,Sr3Ru2O7(n=2)中磁场调制电子相列相,SrRuO3(n=∞)中的巡游铁磁性质,Ca2RuO4(n=1)中的反铁磁Mott绝缘态,CaRuO3(n=∞)中的顺磁金属性等。在钌氧化物中,钌离子的4d电子具有比3d电子更大的空间延伸性,这使得钌的4d电子具有更弱的电子关联作用和更强的轨道-晶格耦合作用。因此,钌基材料对外部参量的调控更为敏感。从而,化学掺杂、磁场、压力等均能有效的调控体系的性质和基态。
前期的研究表明,某些和Ru4+离子具有相近的离子半径的3d离子,能够很容易的调节这一体系的晶体结构和物理性质。例如,少量的Ti或者Mn离子掺杂于Ru位,就可以把体系的基态从顺磁或者铁磁态调制为反铁磁绝缘态。相反,另外一些具有3d电子的离子掺杂,如Cr,Co,Fe等,会保护体系的金属相,并导致铁磁有序态。
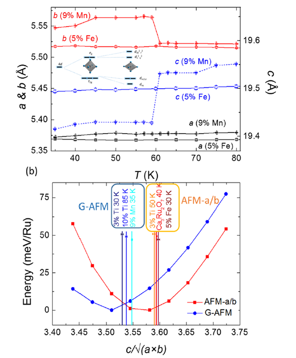
在钌基化合物中,双层Ca3Ru2O7(n=2)是一类具有丰富物性和相图的体系。Ca3Ru2O7在奈尔温度TN~56K以下转变为反铁磁(AFM)。其反铁磁的构型是自旋在RuO2面内形成沿着a方向的铁磁,而沿着c方向的层与层之间形成反铁磁。在温度为48K时发生另一个金属-绝缘转变,同时RuO2面内的铁磁由a方向转变为沿着b方向。这两个磁转变被称作AFM-a和AFM-b。在本工作中,南京大学的彭劲博士,借助稳态强磁场实验装置变温X射线衍射仪,对Ca3Ru2O7中由少量3d电子化学掺杂引起的Mott相变进行了深入的研究。研究结果表明,轻度Mn(4%)掺杂会使该体系中的准二维金属态转变为具有G型反铁磁有序的Mott绝缘态,但是Fe掺杂却不能导致这种转变。变温XRD结果,显示了随温度的晶格变化在这一相变中起至关重要的作用。晶格变化的实验结果和第一性原理计算比较,揭示了晶格-轨道耦合是Mott相变的关键机制。研究发现,Mott相变的相变温度,已经预先由奈尔相变温度TN以上的结构参数所确定。研究结果证明,Mott相变是由于3d离子掺杂所造成的强散射中心造成的。这一图像解释了在钌氧化物中3d离子的掺杂效应。这一结果推进了人们对于4d关联电子体系中,由电荷、自旋、晶格、轨道自由度的复杂相互作用所支配的奇异的物理性质的认识。
文章链接:https://journals.aps.org/prb/abstract/10.1103/PhysRevB.96.205105。

(a)由变温XRD谱获得的Ca3(Ru0.91Mn0.09)2O7和Ca3(Ru0.95Fe0.05)2O7晶格常数随温度的变化;(b)AFM-a/b和G-AFM总能量随晶格参数的变化
© 1996 - 强磁场科学中心 版权所有 皖ICP备05001008号-11
地址:安徽省合肥市蜀山湖路350号 邮编:230031 电话:0551-65591149 传真:0551-65591149 邮箱:chmfl@hmfl.ac.cn
