中国科学院合肥物质科学研究院强磁场科学中心坐落于安徽省合肥市风景秀丽的科学岛,2008年4月30日经中国科学院批准成立,依托中国科学院合肥物质科学研究院管理(科发人教字〔2008〕133号),其前身是2005年12月20日成立的“合肥强磁场科学技术研究中心”。中心目标:发展强磁... 更多简介 +
稳态强磁场实验装置(Steady High Magnetic Field Facility,简称SHMFF)是国家发改委支持的“十一五”国家重大科技基础设施。SHMFF法人单位是中国科学院合肥物质科学研究院,共建单位是中国科学技术大学。各项任务以中国科学院强磁场科学中心为依托完成... 更多简介 +
近日,稳态强磁场实验装置(SHMFF)用户河南大学王凯教授、康朝阳副教授与中国科学院合肥物质院强磁场科学中心韩玉岩副研究员合作,依托SHMFF物性测试系统,在Pt/CrI3异质结构输运性质研究取得了新进展。该成果以题为“Proximity-induced ferromagnetism of platinum thin film on magnetic insulating CrI3 nanoflakes”于2024年09月30日在国际著名学术出版社Elsevier发行的期刊Applied Surface Science上在线发表。
随着科技的不断进步,二维磁性材料因其独特的物理特性在自旋电子学器件中展现出巨大的应用潜力。研究团队聚焦于二维磁性绝缘体CrI3纳米片与金属Pt薄膜构成的异质结构,探索其磁性与电子输运性质的相互作用。该异质结构结合了CrI3的磁性绝缘特性和Pt薄膜的金属性,为研究磁性与电子输运性质的相互作用提供了理想平台。
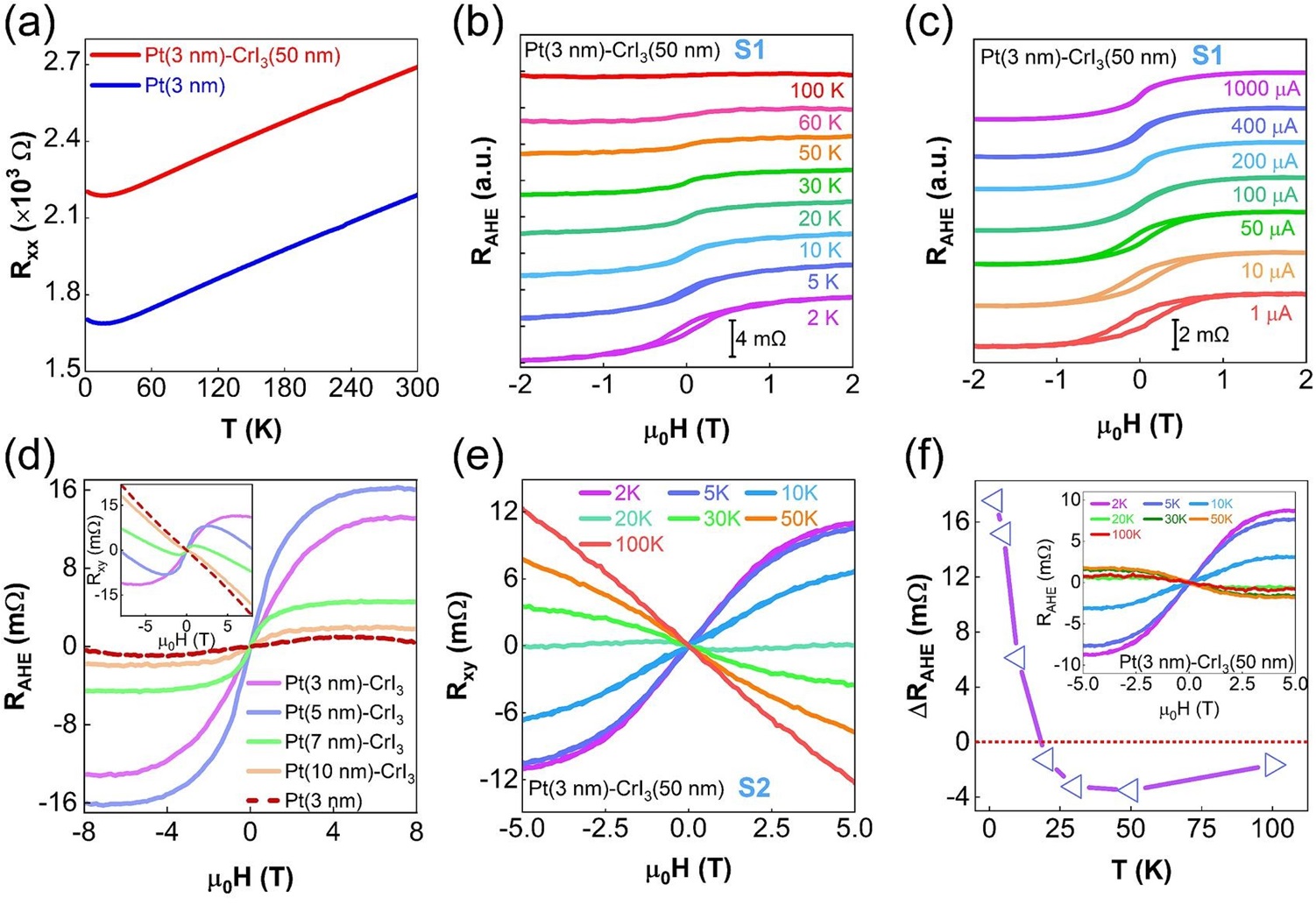
该研究团队采用化学气相沉积法成功制备了高质量的CrI3单晶,并利用微纳加工技术构建了Pt/CrI3异质结构。通过实验观察到,Pt薄膜在与CrI3纳米片接触后,表现出了反常霍尔效应,这表明Pt薄膜通过磁性近邻效应获得了铁磁性。密度泛函理论计算进一步揭示了Pt 5d和Cr 3d电子之间的交换相互作用在界面处的增强,这是Pt薄膜磁化的关键因素。
该研究团队发现Pt/CrI3异质结构的电阻随温度和磁场变化明显。在强磁场下,该结构表现出非线性霍尔效应,这通常与铁磁性相关。随着温度的升高,这种效应逐渐减弱,表明Pt层通过邻近效应获得了磁性。研究团队还发现电流能够调控Pt的磁化特性,即:增加测试电流可以降低Pt层的矫顽力和饱和电阻。此外,发现反常霍尔电阻随着Pt层厚度的增加而减小。这是由Pt层的磁化强度逐渐降低引起,从而进一步证实了Pt的磁化主要是界面效应。通过第一性原理计算,研究团队发现Pt/CrI3异质结构形成了界面杂化轨道,Pt在费米能级发生了明显的分裂,导致上下自旋态密度不均而产生磁矩。
这些发现为理解基于自旋的物理现象提供了新的视角,并为基于二维材料的自旋电子学设备的发展提供了重要的理论基础和实验数据。精确控制界面处的电子交换相互作用,可以有效地调控Pt层的磁化状态,这对于设计新型自旋电子学器件具有重要意义。
河南大学王凯教授、康朝阳副教授和中国科学院合肥物质院强磁场中心韩玉岩副研究员为共同通讯作者。该研究得到了国家自然科学基金、强磁场安徽省实验室的支持。
图1. Pt/CrI3 异质结构的电输运测量结果。 (a)Pt薄膜以及Pt/CrI3异质结构的“横向电阻-温度”曲线;(b) 不同温度下Pt (3 nm)/CrI3 (50 nm) 异质结构的反常霍尔电阻(RAHE);(c) 不同测试电流得到的Pt (3 nm)/CrI3 (50 nm) 异质结构的反常霍尔电阻,测试温度为2 K;(d) 不同厚度的Pt层构筑的Pt/CrI3(60 nm)异质结构的反常霍尔电阻,测试温度为2 K;(e) 不同温度下Pt (3 nm)/CrI3 (50 nm)的“霍尔电阻-温度”曲线;(f) Pt (3 nm)/CrI3 (50 nm)异质结构的ΔRAHE随温度的变化(ΔRAHE=RAHE(+5T)-RAHE(-5T))
文章链接:https://www.sciencedirect.com/science/article/pii/S0169433224021093?via%3Dihub
© 1996 - 强磁场科学中心 版权所有 皖ICP备05001008号-11
地址:安徽省合肥市蜀山湖路350号 邮编:230031 电话:0551-65591149 传真:0551-65591149 邮箱:chmfl@hmfl.ac.cn

