中国科学院合肥物质科学研究院强磁场科学中心坐落于安徽省合肥市风景秀丽的科学岛,2008年4月30日经中国科学院批准成立,依托中国科学院合肥物质科学研究院管理(科发人教字〔2008〕133号),其前身是2005年12月20日成立的“合肥强磁场科学技术研究中心”。中心目标:发展强磁... 更多简介 +
稳态强磁场实验装置(Steady High Magnetic Field Facility,简称SHMFF)是国家发改委支持的“十一五”国家重大科技基础设施。SHMFF法人单位是中国科学院合肥物质科学研究院,共建单位是中国科学技术大学。各项任务以中国科学院强磁场科学中心为依托完成... 更多简介 +
近日,稳态强磁场实验装置(SHMFF)用户中国科学院合肥物质院强磁场科学中心韩玉岩与安徽大学阚绪材、高文帅合作,依托SHMFF物性测试系统,在EuAgSb单晶的物性研究方面取得了新进展。该成果以题为“Magnetism and anomalous Hall effect in the antiferromagnetic semimetal EuAgSb”在Elsevier出版社发行的期刊Journal of Alloys and Compounds上在线发表。
磁性拓扑材料在磁开关、磁存储器等器件中有巨大的应用潜力,合成磁性拓扑材料并探索其物理特性尤为重要。研究团队聚焦于Eu基三元化合物EuRPn(R = Cu, Ag, Au, Pn = P, As, Sb, Bi)这一体系中的EuAgSb单晶,该材料体系中的Sb原子含有准二维狄拉克费米子;Eu原子磁矩的取向可通过温度和磁场进行调控,从使材料的能带结构发生改变。这使EuAgSb单晶可以作为研究磁性与拓扑相关性的理想样本。
研究团队通过助熔剂法制备了EuAgSb单晶,利用物性测试系统研究了该材料的磁、比热、磁电阻等物性。研究发现,该单晶在低温出现反铁磁转变(奈尔温度TN约为6.8 K),提高磁场强度能够抑制该转变。比热测量结果证实,反铁磁转变导致该材料磁熵的增大。零场下的电阻测量结果表明该材料具有金属性质;在TN附近,Eu磁矩有序度热涨落的增强导致电阻率增加;随着温度继续降低,载流子受到的散射随着Eu磁矩长程序的形成逐渐减弱,从而使材料的电阻率进一步减小。
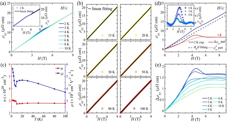
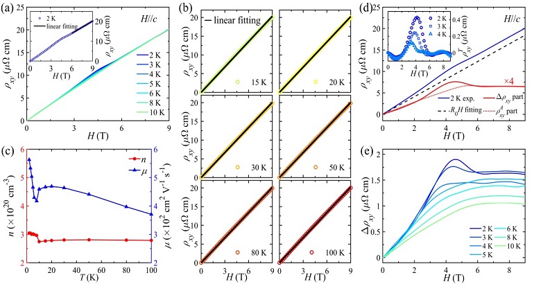
研究团队对EuAgSb单晶的霍尔效应进行了研究,发现了该材料在温度低于TN时表现出明显的反常霍尔效应(AHE)及拓扑霍尔效应(THE);当温度高于TN,AHE及THE消失。表明了EuAgSb单晶的AHE及THE同材料的磁结构密切相关。
实验结果表明,EuAgSb单晶的磁、比热及电学性质之间存在关联,且该关联主要由该材料的磁结构受温度及磁场的调控导致。温度及磁场调变了EuAgSb单晶中的磁结构,改变了磁熵及能带结构,从而引起了磁、比热及电学性质的变化。
该研究能够深化人们对磁性拓扑材料中磁结构与物性之间关系的理解,也为基于磁性拓扑材料的器件研发提供实验基础。
安徽大学与强磁场中心联合培养的研究生殷沪鑫为论文第一作者,强磁场中心韩玉岩和安徽大学阚绪材、高文帅为共同通讯作者。该工作得到了国家自然科学基金项目以及强磁场科学中心理化公共技术中心、低功耗量子材料与器件安徽省重点实验室的支持。
文章链接:https://www.sciencedirect.com/science/article/pii/S0925838824047601
图1. EuAgSb单晶的霍尔效应、反常霍尔效应及拓扑霍尔效应分析结果
© 1996 - 强磁场科学中心 版权所有 皖ICP备05001008号-11
地址:安徽省合肥市蜀山湖路350号 邮编:230031 电话:0551-65591149 传真:0551-65591149 邮箱:chmfl@hmfl.ac.cn

